Borsa

Markowitz Modeli ve etkin sınır mutlaka ekonomi derslerinde karşınıza çıkmış terimlerdir. Ancak, hala temel varsayımlarını ve portföyümüze alacağımız varlıkları seçerken riskimizi çeşitlendirmede bize ne kadar yardımcı olabileceğini tam olarak bilmiyoruz.

Portföy seçim teorisinin derinliğini ve geçirdiği evrimleri tek bir yazıda ele almak mümkün olmadığı için burada kilit sorular sorarak bu aracı anlamamızı ve kullanabilmemizi sağlayacak genel bir özet oluşturulması amaçlanmıştır.
Bu teorinin ne olduğunu ve nasıl geliştirildiğini anlatmaya geçmeden önce temel tanımları açıklayarak konuya giriş yapalım ve adım adım ilerleyelim.
Etkin portföy, aşağıda belirtilen iki koşulu sağlayan portföydür:
Bir yatırımcı olarak etkin portföy oluşturmayı başarmak için uygulayabileceğiniz bazı tavsiyeler:
1. Yatırımcı profilinizi tanıyın: Yatırımcı profili bir yatırımcı olarak kabul etmeye hazır olduğunuz risk seviyesini gösterir: muhafazakar, dengeli veya agresif
2. Gerçekçi hedefler belirleyin: Hedefinizin ne olduğunu, diğer bir deyişle, kabul etmek istediğiniz risk seviyesini baz alarak ulaşmayı amaçladığınız karlılık hedefini belirlemelisiniz. Buradan hareketle "gerçekçi hedefler" ifadesini önemle vurgulamak gerekir, çünkü:
3. Riski dengeleyin: Risk seviyemizi ve ulaşmayı amaçladığımız hedefi belirledikten sonra artık bunları hisse senetleri, Borsa Yatırım Fonları (ETF), Fark Kontratları (CFD) ve fonlar gibi farklı varlıklara arasında dağıtabiliriz.
4. Vergi Konusu: Bir plan ve bir strateji oluşturduktan ve her şeyden önemlisi, maruz kaldığımız tüm risklere katlandıktan sonra, o en can alıcı an gelir, pozisyonlardan çıkış ve vergiler. İşte bu nedenle, gelir vergisi beyannamesinin sermaye kazançlarını içerecek şekilde nasıl hazırlanacağı hakkında iyice bilgi sahibi olmak veya doğrudan bir uzmana başvurmak çok önemlidir, aksi takdirde, Maliyenin uygulayacağı herhangi bir vergi cezası, büyük emeklerle ve yüksek risklere maruz kalarak elde ettiğimiz kazançlarımızı kaybetmemize neden olabilir.
5. Portföyünüzü risk temelinde çeşitlendirin: Şu ana kadar sadece hisse senetlerine yatırım yapmaktan söz ettik ama aslında karlı ve belki de daha az risk barındıran başka birçok yatırım aracı mevcut: Pasif gelirler, gayrimenkul sektörü, vb. gib.
Etkin bir portföyün nasıl yapılandırılması gerektiğini artık öğrendiğimize göre şimdi Markowitz modelini değerlendirmeye geçebiliriz.
1950'li yıllarda ekonomist Harry Markowitz tarafından geliştirilen Markowitz modeli, yatırım portföylerinin performansını analiz etmek için kullanılan matematiksel bir modelidir.
Markowitz modeli, çeşitli varlık sınıflarını içerecek şekilde çeşitlendirilmiş bir portföy oluşturmak suretiyle riski en aza indirirken, getiriyi maksimize etmek amacını güder. Bu çeşitlendirme, genel riski azaltmaya yardımcı olurken, yüksek potansiyel getiri elde etmeye olanak sağlar.
Günümüzde finans alanında çok büyük bir etkiye sahip olan bu model, dünya genelinde yatırımcılar ve yatırım uzmanları tarafından kullanılmaya devam etmektedir.
Saygın Chicago Ekonomi Okulunun temsilcilerinden ve dünyanın önde gelen yatırım analistlerinden biri olan ekonomist Harry Markowitz 1927'de Chicago, Illinois'de doğdu.
1952 yılında kendi doktora tezinden hareketle yazdığı "Portföy Seçimi" adlı makale kariyerinde önemli bir dönüm noktasına işaret ederken, menkul kıymetler portföyünün optimal bileşimi üzerindeki çalışmalar için de yeni bir alan açmış oldu.
Portföy yönetimi teorisine yaptığı katkılardan dolayı Miller ve Sharpe ile birlikte 1990 yılında Nobel Ekonomi Ödülünü aldı .

2. Tüm yatırımcıların yatırım ufku aynıdır ve bir dönemdir. Dönemin başında, belirli bir menkul kıymet portföyü satın alırlar ve dönem sonunda bu portföydeki varlıkları elden çıkarırlar.
3. Finansal piyasalarda N riskli finansal varlıklar ve bunların kombinasyonları işlem görmektedir. Yatırım yapılacak veya finansman sağlamak için kullanılacak risksiz bir finansal varlığın mevcut olabileceği dikkate alınmaz.
4. Menkul kıymetler, referans döneminin sonunda hemen nakde dönüştürülür.
5. Açığa satışlara izin verilmez.
Markowitz tarafından önerilen model, yatırımcının beklenen faydasını maksimize eden optimal portföyü belirlemeyi amaçlar.
Modelde bu amaçla aşağıda belirtilen adımlardan oluşan dört aşamalı bir süreç belirlenmiştir:
Etkin bir portföyün sağlaması gereken iki koşulu hatırlayalım.
Dolayısıyla, etkin sınır, Markowitz Modelinde kullanılan bir kavramdır ve yatırım yaparken risk ve getiri arasında optimal bir denge olduğunu öne sürer. Bu denge, yatırımları çeşitli varlık sınıfları arasında dağıtarak elde edilir ve genellikle, x ekseninin getiriyi ve y ekseninin riski temsil ettiği bir grafikle gösterilir. Etkin sınır eğrisi, belirli bir risk seviyesi için optimal portföyü temsil eder.
Örneğin, riskten kaçınan bir yatırımcı, Y eksenine (Ep, düşük risk) daha yakın bir portföy seçerken, yüksek getiri arayan bir yatırımcı, X eksenine (yüksek getiri) daha yakın bir portföy seçer. Buna göre etkin sınır, getiri ile risk arasındaki farklı optimal noktalardan oluşur ve bize üstlenmeye istekli olduğumuz riske karşılık talep etmemiz gereken getiriyi ya da talep ettiğimiz getiriye karşılık üstlenmemiz gereken riski gösterir.
Bunların dışındaki her durumda portföyün etkin olmadığı kabul edilir. En düşük riskli etkin portföy, minimum varyans portföyüdür (CMV) ve verimli sınır CMV'den başlar.


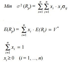
Etkin portföyler kümesi, aşağıdaki parametrik kuadratik programlama modeli çözülerek hesaplanabilir:

[E(Rp), σ^2 (Rp)] çiftlerinin veya tüm etkin portföylerin getiri-risk kombinasyonları «etkin sınır» olarak adlandırılır. Bu belirlendikten sonra yatırımcı kendi tercihlerine uygun olan optimal portföyü seçer.
Markowitz modelinin, portföy seçimi ve etkin sınırın belirlenmesi ile ilgili modern teorinin temellerini oluşturduğu kabul edilir. Şüphesiz, bu yaklaşım ve daha sonra yapılan katkılar ve geçirdiği evrimler, ekonomi teorisinin 20. yüzyılda kaydettiği ilerlemelerin sonucu olarak ortaya çıkmıştır. Ancak modelin teorik açıdan taşıdığı öneme kıyasla yatırım yöneticileri ve analistler tarafından uygulamada kullanımı görece az olmuştur.
Markowitz, çalışmalarında bir portföyü çeşitlendirmede esas olanın sadece portföyde bulunan hisse senetlerinin sayısı olmadığını, bunların getirileri arasındaki korelasyon olduğunu göstermiştir. Eğer korelasyon yüksekse çeşitlendirme yapmak mümkün olmaz, aksine eğer korelasyon düşükse çeşitlendirme yapılabilir ve risk önemli ölçüde düşer.
Kaynak: Francisco Blanco Ramos, Máximo Ferrando Bolado, María Fuencisla Martínez Lobato, 2015, Teoría de la inversión [Yatırım Teorisi]. Pirámide, 2015, Madrid.