Trading

Volatilite ne demek? Finans ve yatırım piyasalarında sıkça duyduğumuz bu kavram, bir varlığın fiyatının belirli bir zaman aralığında ne kadar dalgalandığını ifade eder. Fiyat sık ve geniş aralıklarda değişiyorsa yüksek volatilite, daha dar bir bantta hareket ediyorsa düşük volatilite söz konusudur.
Volatilite, bir yatırımın risk seviyesini anlamak için kullanılan en temel göstergelerden biridir. Fiyat hareketleri arttıkça potansiyel getiri de risk de yükselir. Bu nedenle, volatiliteyi doğru yorumlamak hem risk yönetimi hem de yatırım stratejisi açısından kritik öneme sahiptir.
Volatilite, borsa dünyasında sıklıkla duyulan ve önemli bir kavramdır. Borsada volatilite, fiyatların kısa sürede geniş aralıkta hareket ettiği oynak dönemleri ifade eder.
Yukarıda da bahsettiğimiz gibi volatilite, bir finansal varlığın fiyatının zaman içinde yaşadığı değişikliktir. Eğer varlığın fiyatı yüksek volatiliteye sahipse önemli kayıplar yaşayabiliriz. Aynı şekilde, bu yüksek volatilite teminat sermayemizi tüketebilir ve bunun sonucunda da broker tarafından bir teminat çağrısına (margin call) yol açabilir.
Bu nedenle volatilite, yatırım stratejisini belirlerken risk seviyesini, pozisyon boyutunu ve kaldıraç kullanımını doğrudan etkileyen en kritik göstergelerden biridir.
Borsa İstanbul’da, aşırı fiyat oynaklığının görüldüğü hisselerde Volatilite Bazlı Tedbir Sistemi (VBTS) devreye girerek açığa satış yasağı, brüt takas veya tek fiyat yöntemi gibi geçici tedbirler uygulanabilir.
Bu nedenle volatilite sayesinde güvenlik marjı gibi analizler yapılıp yüksek fiyat değişimine dayanıp dayanamayacağımızı ve bu varlığa yatırım yapmamız gerekip gerekmediğini öngörebiliriz. Ya da aynı şekilde, aracı kurumumuzdan önleyici bir teminat çağrısı alabiliriz. Bu durumda aracı kurum beklenen yüksek volatilite dönemine karşı bununla başa çıkmak için daha fazla sermaye yatırma gerekliliği konusunda uyarır.
👉 Teminat çağrısı nedir sorusuna daha detaylı bir yanıt arıyorsanız bu makalemizi inceleyebilirsiniz: Teminat Çağrısı (Margin Call) Nedir?
Borsa İstanbul’da belirli bir hisse senedinde alışılmışın üzerinde fiyat dalgalanması veya işlem hacmi görülmesi durumunda, yatırımcıyı korumak ve piyasadaki aşırı oynaklığı sınırlamak amacıyla Volatilite Bazlı Tedbir Sistemi (VBTS) devreye alınır. Bu sistem, SPK ve Borsa İstanbul tarafından belirlenen objektif kriterlere dayanır ve ilgili hisse üzerinde geçici kısıtlamalar uygulanmasını sağlar.
VBTS kapsamında en sık karşılaşılan tedbirler şunlardır:
Bu tedbirler genellikle 15 gün ile 30 gün arasında uygulanır ve hissenin normalden daha kısıtlı bir işlem yapısına sahip olmasına yol açabilir. Sonuç olarak:
Kısacası VBTS, yüksek volatilite dönemlerinde yatırımcıyı korumayı amaçlayan bir güvenlik mekanizmasıdır; ancak uygulandığı süre boyunca ilgili hissede işlem özgürlüğü sınırlı olabilir.
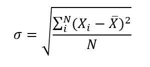
Bir varlığın volatilitesini hesaplamak için en yaygın kullanılan yöntem standart sapmadır. Standart sapma, fiyatların belirli bir dönem boyunca ortalamadan ne kadar uzaklaştığını gösterir ve böylece bir finansal varlığın geçmişte ne kadar dalgalandığını sayısal olarak ölçmemizi sağlar.

Volatilite formülü ise sapmaların karesini almayla başlar. Daha sonra, çıkan sonucu toplam örneklem (N) sayısına böleriz. Son olarak, kare alma işlemini geri almak için karekök alırız. Böylece fiyattaki sapmayı ve dolayısıyla volatiliteyi elde ederiz.
Volatilite hesaplamasının temel adımları şöyledir:
Basit bir örnek:
Örneğin bir hissenin günlük getirileri son 30 gün boyunca ortalaması etrafında geniş bir aralıkta dalgalanıyorsa, standart sapma otomatik olarak yüksek çıkar. Bu durum, hissenin yüksek volatiliteye sahip olduğunu gösterir. Tam tersine, getiriler ortalamaya çok yakın seyrediyorsa volatilite düşük olur.
Bu hesaplama bize yalnızca geçmiş volatiliteyi (tarihsel volatilite) verir. Geleceğe yönelik volatiliteyi tahmin etmek için ise VIX gibi beklentiye dayalı göstergeler kullanılır.
VIX Endeksi, finansal piyasalarda önümüzdeki 30 güne yönelik beklenen volatiliteyi ölçen bir göstergedir. S&P 500 endeks opsiyonlarının fiyatlarından türetilir ve bu nedenle çoğu yatırımcı tarafından “korku endeksi” olarak bilinir. VIX yükseldiğinde piyasaların daha dalgalı ve belirsiz olacağı, düştüğünde ise daha sakin bir dönem beklendiği yorumlanır.

VIX, adını İngilizcedeki “Volatility Index” ifadesinden alır ve Türkçede volatilite endeksi anlamına gelir. Kısa vadeli piyasa duyarlılığını ölçtüğünden, risk yönetimi ve piyasa psikolojisini anlamak için en sık takip edilen göstergelerden biridir.
Her ne kadar VIX, ABD piyasalarına (özellikle S&P 500’e) odaklansa da dünya genelindeki volatiliteyi takip etmek için benzer endeksler de bulunur. Örneğin:
Bu endeksler birlikte incelendiğinde, farklı borsalardaki risk algısını karşılaştırmak ve küresel piyasa koşullarını değerlendirmek mümkün olur.
Son kısma geçmeden önce volatilite türlerinden de bahsedebiliriz. Yaptığımız ölçümlere bağlı olarak volatiliteyi şu şekilde sınıflandırabiliriz:
Dönem Bazlı Volatilite (Geçmiş veya Gelecek):
Örneklem Bazlı Volatilite:
Bir hissenin fiyat değişimini baz alarak nasıl volatiliteyi hesapladıysak bir fonun fiyat değişimiyle de bu göstergeyi hesaplayabiliriz. Böylece, bu tür finansal ürünlerin pay fiyatına göre sunduğu volatiliteyi analiz edebiliriz.
Bir yatırım fonuna yatırım yaptığımızda, belirli bir fiyat üzerinden pay satın alırız. Bu paylar çok sayıda varlık arasında çeşitlendirilmiş olmasına rağmen pay fiyatı, söz konusu fonu oluşturan finansal varlıklardaki değişiklikleri yansıtır.
Dolayısıyla, bu tür bir finansal ürünün volatilitesini ölçmek için hisse senedi veya başka bir tür finansal varlıkta olduğu pay fiyatı üzerinden standart sapmayı hesaplamak yeterli olacaktır.
Yüksek volatilite, kısa sürede yüksek kazanç fırsatları sunarken aynı zamanda büyük kayıplara da yol açabilecek riskli bir ortam yaratır. Fiyatların hızlı ve geniş bantta hareket ettiği dönemlerde pozisyonlar daha çabuk değer kaybedebilir ve kaldıraçlı işlemler yapılıyorsa sermayenin hızla erimesi hatta teminat çağrısı yaşanması mümkün hale gelir. Bu nedenle volatilite, yatırımcının hem getiri potansiyelini hem de risk düzeyini doğrudan etkileyen kritik bir göstergedir.
Volatiliteyi yönetebilmek için şu adımlar önem kazanır:
Volatiliteyi anlamak; yalnızca “fiyat çok oynuyor mu?” sorusunu cevaplamak değildir. Aynı zamanda yatırımcının kendi risk toleransını, hedeflerini ve stratejisini doğru şekilde belirleyebilmesi için de temel bir göstergedir.
Volatilite genellikle ekonomik belirsizlik dönemlerinde, faiz kararları öncesinde, önemli makroekonomik veriler açıklandığında veya piyasalarda panik satışları görüldüğünde artar. Jeopolitik riskler, beklenmedik şirket haberleri ve düşük likidite dönemleri de volatiliteyi yükselten temel faktörler arasındadır.
Son olarak, volatilite konusunda Bitcoin oldukça çarpıcı bir örnektir.

Bitcoin fiyatı, birkaç gün içinde %200'den fazla değer kazanmış, aynı şekilde %100'den fazla düşüşler de yaşamıştır.
Bitcoin, çok sayıda ve çok belirgin fiyat değişiklikleri yaşadığı için yüksek volatiliteye sahip bir varlıktır. Ayrıca, fiyattaki ani değişiklikler, yatırımcı için ciddi bir risk oluşturur. Bu da yatırım kararı almadan önce göz önünde bulundurulmalıdır.
👉 Bitcoin hakkında derinlemesine bilgi sahibi olmak için bu makalemizi inceleyebilirsiniz: Bitcoin Nedir? | Bitcoin Yatırımları